Сегодня состоялся аукцион по продаже земельных участков в частную собственность граждан Беларуси для строительства жилых домов в Дзержинском районе. Участникам было предложено 23 лота. Рассказываем об итогах торгов.
Участки на аукцион выставляли Боровской сельсовет (12), Дзержинский (5), г. Дзержинск (3), Путчинский (1) и Станьковский (2).
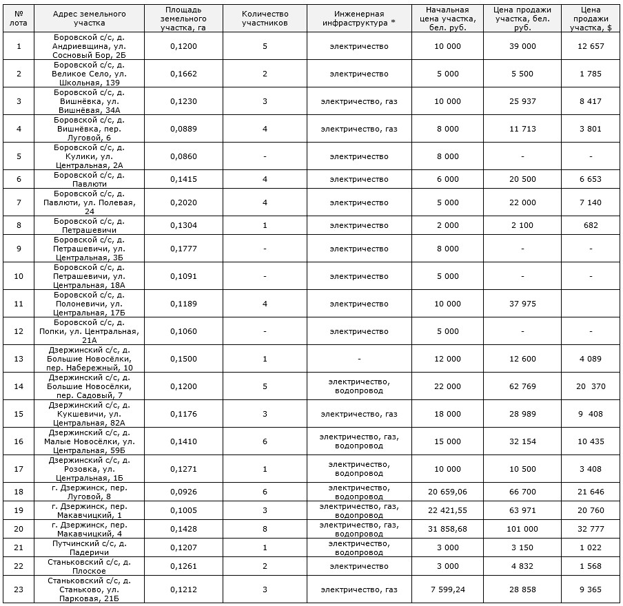
В Боровском сельсовете торги прошли по 7 лотам. За участки торговались от 2 до 5 заявителей. Наибольшее количество заявок — 5 — подали на лот № 1. Земельный надел находится в д. Андриевщина на ул. Сосновый Бор, 2Б. Площадь участка составляет 12 соток. Он оснащен электричеством и был выставлен на аукцион за 10 000 рублей.
Лот продали за 39 000 рублей, или 12 657 долларов по курсу Нацбанка на день проведения аукциона. На один участок в д. Петрашевичи (лот № 8) подали одно заявление. На 4 лота заявок не поступило.
В Дзержинском сельсовете торги прошли по 3 лотам. На участок в д. Малые Новоселки на ул. Центральной, 59Б, подали 6 заявлений. Земельный надел насчитывает 14 соток, оснащен электричеством, газом и водопроводом.
При стартовой цене 15 000 рублей лот реализовали за 32 154 рублей, или 10 435 долларов. Два лота проданы единственным заявителям.
В г. Дзержинске торги прошли по всем 3 лотам. На них претендовали от 3 до 8 человек. Восемь заявителей боролись за лот № 20. Участок расположен в пер. Макавчицком, 4, и насчитывает 14,3 сотки. Есть возможность подвести к наделу электричество, газ и воду. Участок был выставлен на торги по самой высокой начальной цене, которая составила 31 859 рублей.
Его удалось продать за 101 000 рублей, или 32 777 долларов.
В Путчинском сельсовете в д. Падеричи участок продали единственному заявителю за 3 150 рублей, или 1 022 доллара.
В Станьковском сельсовете торги прошли по 2 лотам. На один лот подали 2 заявки, на второй — 3 заявления.Более подробную информацию о лотах и ценах продаж участков смотрите в таблице.
Организатором аукциона выступил Минский областной центр инвестиций и приватизации.
Автор: Елена Масловская.Источник: https://realt.by/news/article/42925/
